Ming-Qing Documents

II.14 Nanyu Chen genealogy excerpts

II.14 Nanyu Chen genealogy

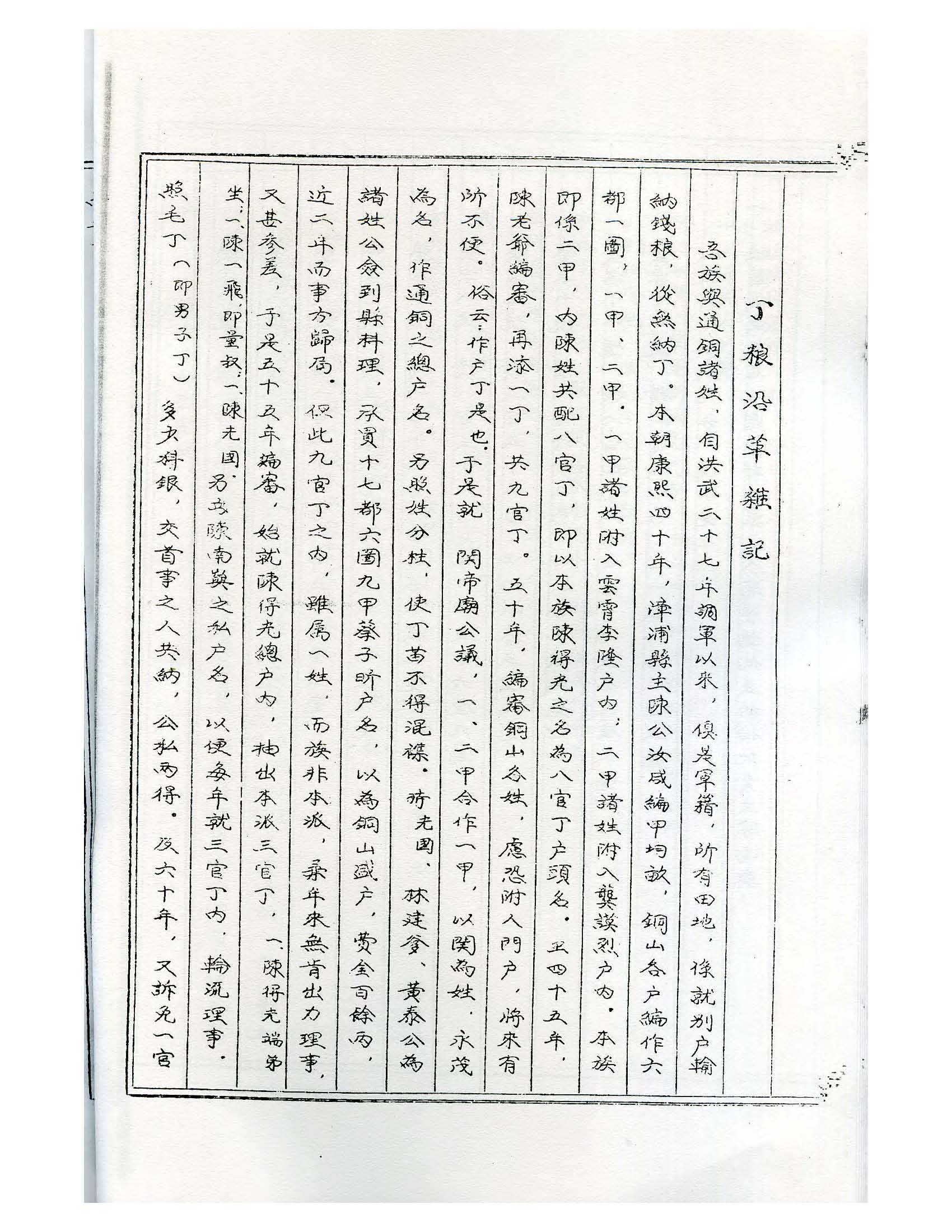
丁糧沿革雜記 (excerpt)


Download the PDF file of this document.​​​​​​​
 

Glossary

編審 - bianshen - census and land registration

歸局 - guiju - resolved, settled

承買 - chengmai - purchase on behalf of

毛丁 - maoding - adult male

This page has paths:

This page references: